Cách hình thức hay bổ nghĩa cho tiếng Anh.
03a. Các Dạng Câu a.Đơn b.Ghép c.Phức d. Ghép Phức – Viết Câu Hay Từ Nhiều Câu Đơn – Chuyển Thành Câu Phức hay Ghép Phức
Dấu chấm phẩy: thêm ý hay ý nghĩa đối lập
Dấu – bổ sung ý
03b. Câu Đơn -Là câu chỉ có một mệnh đề độc lập – Từ V là trọng tâm xoay ra -Ý cần nói đứng đầu làm chủ ngữ – Giữa câu làm tân ngữ – cuối câu làm cụng trạng từ
03b. Câu Đơn -Là câu chỉ có một mệnh đề độc lập – Từ V là trọng tâm xoay ra -Ý cần nói đứng đầu làm chủ ngữ – Giữa câu làm tân ngữ – cuối câu làm cụng trạng từ
00b. S + V(nội động từ – không cần tân ngữ) + a.Adv b. Chùm Từ Vai Trò Adv c.Advdrial Object d.Cognate Object
00c. S + V (Linking Verb) + Complement Subject (a. Noun b.Adj c. Adv ) She is really a doctor (V – ing)
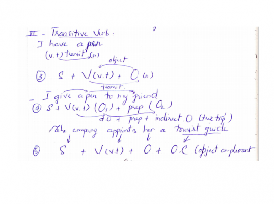
00d. Subject + Verb (Trans) + Objective
00e. Subject + Verb (Trans) + Direct Objective + InDirect Objective + Adverbial
00f. I give the pen to my friend -I give my friend the pen Object trực tiếp, gián tiếp
00g. Subject + Verb (Trans) + Objective + Complement Object (Bổ Nghĩa Tân Ngữ) + Adverbial
00h. The company appoints her a tourist guide (Complement Object Her)- Ko Thể Nói Ngược Lại
01. Câu đơn không phải là câu ngắn mà nó chỉ thể hiện một ý chính

